Medical Check Up Form Malaysia

Fill in the section 1 part a and b.
Medical check up form malaysia. The pantai medical centre kuala lumpur is based in malaysia specializes in delivering diagnostic and health screening packages as well as advanced imaging services and other medical treatments. Your typical journey in medical checkup note. Download and print the medical examination form. Click here to download the sample this form is completed by one of the previous student which accepted by immigration malaysia just for your reference kindly fill up the form exactly like this.
Previous medical records if any especially x rays mri ct scan from your last check up for comparison. 603 2711 8533 portal. Education malaysia global services emgs is wholly owned by the ministry of higher education and is the official gateway to studying in malaysia as all international student applications to study in malaysia must be made through this portal. Contact lenses will need to be removed prior to vision test.
A general check up does not include newborn checks cervical cancer pap smears or regular visits due to chronic conditions such as diabetes. Pathalogy clinical laboratory m sdn bhd since its establishment in 1952 in singapore and 1974 in malaysia the pathlab group of companies has been providing its services to the medical fraternity and the general public. The foreign worker s travel document must be produced to the doctor for identification. Education malaysia one stop centre 20th floor menara ta one 22 jalan p ramlee 50250 kuala lumpur malaysia tel.
Glasses spectacles for your vision test. Upon successful order you will be contacted by our customer service to schedule an appointment within 1 full working day. Any amendments must be endorsed by the doctor who completes this form. Pantai hospital kuala lumpur kuala lumpur kuala lumpur federal territory malaysia 54 reviews 1 of 8 clinics in kuala lumpur.
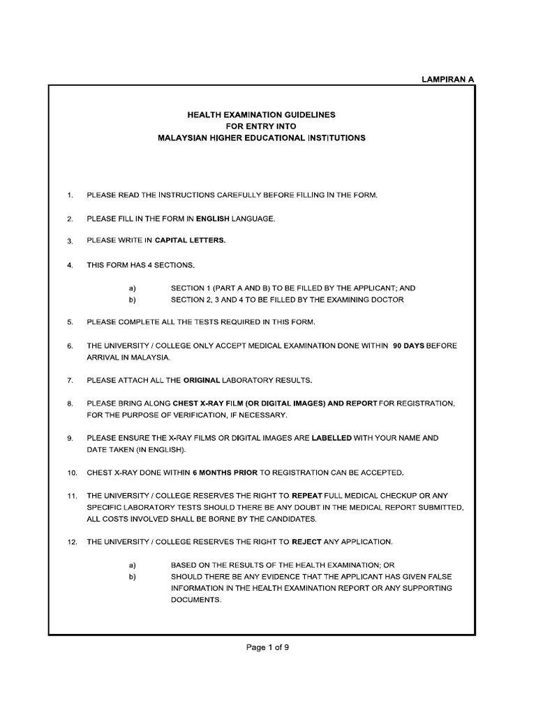
Pathlab offers a total healthcare solution in helping the community in monitoring maintaining and protecting one s health. Www educationmalaysia gov my health examination report for international students. Hospitals clinics and medical centers in malaysia performing general checkup. Preventive health examination or comprehensive medical exam.
Full medical examination form for foreign workers all parts in this form are to be completed by a singapore registered doctor. 603 2782 5888 fax.