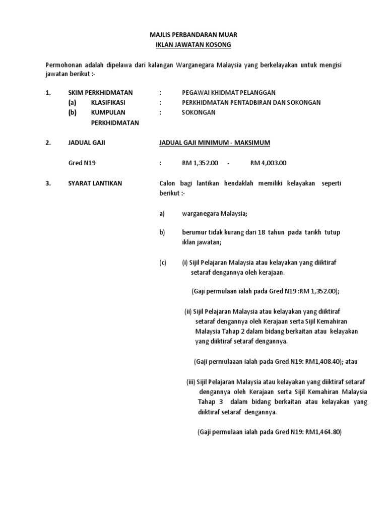
Pegawai Khidmat Pelanggan Gred N19

Sila rujuk iklan dibawah dan ikuti langkah langkah untuk memohon jawatan.
Pegawai khidmat pelanggan gred n19. Buat pemohon pekerjaan yang daftar masuk spa menerusi borang permohonan spa8i online kini anda boleh menyemak jadual temuduga spa anda. Ia akan menambah lagi kefahaman korang terhadap pecahan soalan dalam seksyen ini. Deskripsi skop tugas kerja pegawai khidmat pelanggan pkp n19 pegawai khidmat pelanggan atau lebih dikenali dengan nama customer services merupakan jawatan yang agak penting dalam suatu organisasi kerana mereka merupakan frontline ataupun individu pertama yang akan berurusan atau bertemu dengan pelanggan sebelum meneruskan urusan selebihnya. Atau pun baca perkongsian yang membincangkan jenis jenis dan contoh soalan spa kefahaman bahasa inggeris updated 2020 dengan detil.
Adalah satu platform pengiklanan jawatan kosong yang terkini diseluruh malaysia dalam sektor kerajaan mahupun swasta setiap jawatan yang diiklankan adalah berpandukan jabatan majikan. Pegawai imigresen gred kp19 pegawai khidmat pelanggan gred n19 pegawai pemulihan perubatan pendengaran gred u41 pegawai pendidikan pengajian tinggi gred dh29 pegawai penyelidik gred q41 pegawai sains gred c41 pegawai sains kanan c44 pegawai tadbir dan diplomatik m41 pegawai tadbir n41 pegawai teknologi maklumat f41 pekerja awam gred r1. Jawatan kosong pegawai khidmat pelanggan gred n19 ptptn jawatan kosong pegawai khidmat pelanggan gred n19 ptptn. Calon yang lulus peperiksaan dan temuduga pegawai khidmat pelanggan akan berkhidmat dimana mana jabatan kementerian dan lokasi penempatan yang memerlukan khidmat seorang pegawai khidmat pelanggan.
Jawatan pegawai khidmat pelanggan gred n19 merupakan jawatan kumpulan pelaksana di bawah kkm atau pelbagai kementerian dan jabatan lain. Khidmat penerangan dan khidmat perhubungan pelanggan di peringkat agensi berkaitan seperti mengendalikan panggilan telefon peringkat dalaman dan luaran. 1 penolong pegawai tadbir. Tidak kenaikan pangkat ke.
Jawatan pegawai khidmat pelanggan gred n19 boleh dimohon menerusi borang suruhanjaya perkhidmatan awam spa. Baiklah sampai jumpa di postingan artikel. Korang boleh dapatkan rujukan peperiksaan pegawai khidmat pelanggan gred n19 di bawah. Untuk makluman pihak spa telah mewar warkan panggilan menduduki peperiksaan ini melalui email website spa8i dan fan page spa di facebook.
Bagi yang berminat sangat dialu alukan untuk mendaftar secepat mungkin kerana pendaftaran adalah sepanjang masa secara atas talian. Pegawai khidmat pelanggan gred n19 kementerian jabatan. Format peperiksaan pegawai khidmat pelanggan n19. Semakan keputusan temuduga spa.
Sekianlah artikel senarai tugas pembantu tadbir perkeranian operasi n19 pembantu tadbir kewangan gred n19 pembantu makmal c19 pembantu pengurusan murid gred n19 pegawai khidmat pelanggan gred n19 pembantu operasi gred n11 pemandu kenderaan gred h11 penyelia asrama gred n19 kali ini mudah mudahan bisa memberi manfaat untuk anda semua. Semakan panggilan temuduga spa dan juga mengetahui keputusan temuduga spa anda.